티스토리 뷰
728x90
반응형
문제
N개의 섬이 존재하고 이들이 n-1개의 다리로 어떤 두 섬이든 이동할 수 있도록 연결되어 있다.
이때 다리 하나가 파괴되었고 새로운 다리를 연결해야할 때,
어떤 두 섬 사이에 다리를 연결하면 어떤 두 섬이든 이동할 수 있게 되는지 알아내는 문제이다.
풀이
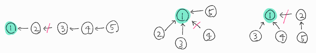
- 이 문제에서 기존에 어떤 두 섬이든 이동할 수 있었다는 것은 모든 섬들이 하나의 집합을 이루고 있다는 뜻이다.
- 즉 모두 같은 부모 노드를 갖고 있다는 의미이다.

- 여기서 다리 하나가 없어졌다는 것은 1개의 집합이 끊어져 2개의 집합이 되었다는 것이다.


- 따라서 두 개의 집합의 섬(노드) 하나씩을 연결해주면 다시 1개의 집합으로 만들 수 있다.
- 즉, 두 집합의 부모 노드 끼리 연결해주면 되는 것이다.
- Union-Find 알고리즘을 사용해 두 개의 분리된 집합을 찾음으로써 답을 구할 수 있다.
Python 코드
# 입력 속도 개선
import sys
input = sys.stdin.readline
n = int(input())
parents = list(range(n+1)) # 부모 노드 저장
# 부모 노드 찾기
def find(x):
if x == parents[x]:
return x
parents[x] = find(parents[x])
return parents[x]
# 두 섬 중 작은 숫자를 기준으로 같은 부모를 갖게 함
def union(x,y):
x = find(x)
y = find(y)
if x < y:
parents[y] = x
else:
parents[x] = y
# 다리가 연결되어 있는 두 섬은 같은 부모를 갖게 함
for _ in range(n-2):
island1, island2 = map(int,input().split())
union(island1, island2)
# 1번 섬이 포함된 집합과 부모 노드가 다른 섬 찾아 정답 도출
# 작은 숫자가 부모 노드가 되도록 설정하였음으로
# 1번이 1번이 포합된 집합의 부모 노드가 됨
for i in range(2,n+1):
if find(1) != find(i):
print(1,i)
break
문제출처
17352번: 여러분의 다리가 되어 드리겠습니다!
선린월드에는 N개의 섬이 있다. 섬에는 1, 2, ..., N의 번호가 하나씩 붙어 있다. 그 섬들을 N - 1개의 다리가 잇고 있으며, 어떤 두 섬 사이든 다리로 왕복할 수 있다. 어제까지는 그랬다. "왜 다리
www.acmicpc.net
728x90
반응형
'Study > Coding Test' 카테고리의 다른 글
| [백준 BOJ / Python] 1089번 스타트링크 타워 (0) | 2023.04.07 |
|---|---|
| [백준 BOJ / Python] 1717번 집합의 표현 (0) | 2023.03.31 |
| [백준 BOJ / Python] 4158번 CD (0) | 2023.03.13 |
| [백준 BOJ / Python] 10703번 유성 (0) | 2023.03.09 |
| [백준 BOJ / Python] 17070번 파이프 옮기기 1 (0) | 2023.03.08 |
댓글
